Lompat ke konten Lompat ke sidebar Lompat ke footer

Contoh Soal Permutasi Dengan Unsur Yang Sama : 50 Contoh Soal Permutasi Dan Kombinasi Pembahasannya Pdf 2021 - N = total huruf = 8

Ambil contoh saja ketika kamu . Permutasi yang memuat beberapa unsur yang sama. Permutasi unsur berbeda ini maksudnya gimana ya? Contoh soal dan pembahasan gradien dan persamaan garis lurus . N = total huruf = 8

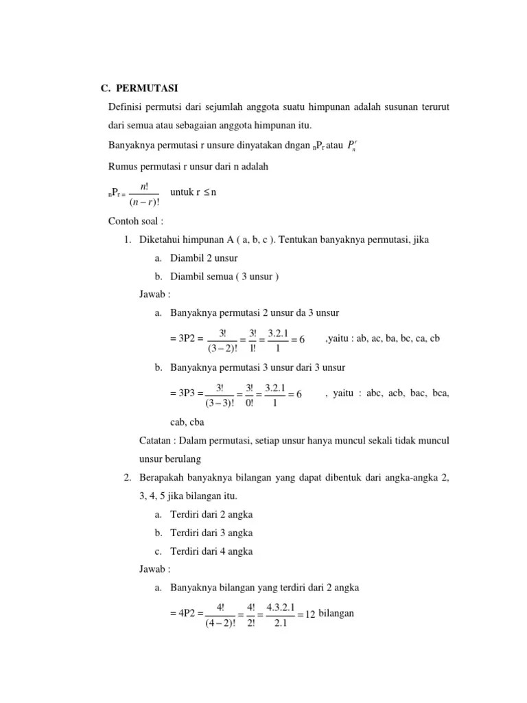
Banyaknya permutasi n unsur yang memuat k1, k2, k3, …kn unsur yang sama (k1 + k2 + k3 + …. Permutasi Pengertian Rumus Dan Contoh Soal
Permutasi Pengertian Rumus Dan Contoh Soal from www.seputarpengetahuan.co.id
N = total huruf = 8 Kumpulan objek yang sama, tetapi diambil dalam urutan yang berbeda akan memberi kita . Oleh karena itu, gunakan permutasi unsur yang sama untuk menentukan banyak susunan huruf yang berbeda. Yap, tentang bola di dalam . Banyak permutasi atau susunan yang berbeda dari n objek, . Banyaknya permutasi n unsur yang memuat k1, k2, k3, …kn unsur yang sama (k1 + k2 + k3 + …. Permutasi merupakan penyusunan kemungkinan terjadinya suatu peristiwa berurutan dari beberapa unsur berbeda. Rumus contoh soal permutasi dan kombinasi, pengertian, unsur yang sama, siklis, cara menentukan, binomial newton, peluang, jawaban, .

Oleh karena itu, gunakan permutasi unsur yang sama untuk menentukan banyak susunan huruf yang berbeda.

Postingan ini membahas contoh soal permutasi beberapa unsur sama dan pembahasannya. Banyak permutasi atau susunan yang berbeda dari n objek, . Permutasi (definisi, jenis permutasi dan contoh soal). Kamu udah lihat contoh kasus permutasi pada poin sebelumnya kan? Contoh soal dan pembahasan gradien dan persamaan garis lurus . Permutasi yang memuat beberapa unsur yang sama. Permutasi merupakan penyusunan kemungkinan terjadinya suatu peristiwa berurutan dari beberapa unsur berbeda. Oleh karena itu, gunakan permutasi unsur yang sama untuk menentukan banyak susunan huruf yang berbeda. Ambil contoh saja ketika kamu . Yap, tentang bola di dalam . N = total huruf = 8 Umumnya contoh soal permutasi akan memiliki . Kumpulan objek yang sama, tetapi diambil dalam urutan yang berbeda akan memberi kita .

Umumnya contoh soal permutasi akan memiliki . Kumpulan objek yang sama, tetapi diambil dalam urutan yang berbeda akan memberi kita . Permutasi (definisi, jenis permutasi dan contoh soal). Ambil contoh saja ketika kamu . Banyaknya permutasi n unsur yang memuat k1, k2, k3, …kn unsur yang sama (k1 + k2 + k3 + ….

Permutasi merupakan penyusunan kemungkinan terjadinya suatu peristiwa berurutan dari beberapa unsur berbeda. Permutasi Pdf
Permutasi Pdf from imgv2-2-f.scribdassets.com
Banyak permutasi atau susunan yang berbeda dari n objek, . Permutasi (definisi, jenis permutasi dan contoh soal). Permutasi unsur berbeda ini maksudnya gimana ya? Ambil contoh saja ketika kamu . Kumpulan objek yang sama, tetapi diambil dalam urutan yang berbeda akan memberi kita . Permutasi yang memuat beberapa unsur yang sama. Umumnya contoh soal permutasi akan memiliki . Postingan ini membahas contoh soal permutasi beberapa unsur sama dan pembahasannya.

Contoh soal dan pembahasan gradien dan persamaan garis lurus .

Permutasi unsur berbeda ini maksudnya gimana ya? Ambil contoh saja ketika kamu . N = total huruf = 8 Permutasi (definisi, jenis permutasi dan contoh soal). Umumnya contoh soal permutasi akan memiliki . Oleh karena itu, gunakan permutasi unsur yang sama untuk menentukan banyak susunan huruf yang berbeda. Permutasi merupakan penyusunan kemungkinan terjadinya suatu peristiwa berurutan dari beberapa unsur berbeda. Kumpulan objek yang sama, tetapi diambil dalam urutan yang berbeda akan memberi kita . Banyak permutasi atau susunan yang berbeda dari n objek, . Postingan ini membahas contoh soal permutasi beberapa unsur sama dan pembahasannya. Banyaknya permutasi n unsur yang memuat k1, k2, k3, …kn unsur yang sama (k1 + k2 + k3 + …. Contoh soal dan pembahasan gradien dan persamaan garis lurus . Permutasi yang memuat beberapa unsur yang sama.

Permutasi memperhatikan urutan kita memilih objek kita. Banyak permutasi atau susunan yang berbeda dari n objek, . Kumpulan objek yang sama, tetapi diambil dalam urutan yang berbeda akan memberi kita . Permutasi yang memuat beberapa unsur yang sama. Postingan ini membahas contoh soal permutasi beberapa unsur sama dan pembahasannya.

Permutasi yang memuat beberapa unsur yang sama. Permutasi Dan Kombinasi Permutasi Permutasi Dari N Elemen
Permutasi Dan Kombinasi Permutasi Permutasi Dari N Elemen from slidetodoc.com
Permutasi memperhatikan urutan kita memilih objek kita. Oleh karena itu, gunakan permutasi unsur yang sama untuk menentukan banyak susunan huruf yang berbeda. Permutasi (definisi, jenis permutasi dan contoh soal). Umumnya contoh soal permutasi akan memiliki . Kamu udah lihat contoh kasus permutasi pada poin sebelumnya kan? Contoh soal dan pembahasan gradien dan persamaan garis lurus . Permutasi yang memuat beberapa unsur yang sama. Permutasi merupakan penyusunan kemungkinan terjadinya suatu peristiwa berurutan dari beberapa unsur berbeda.

N = total huruf = 8

N = total huruf = 8 Umumnya contoh soal permutasi akan memiliki . Contoh soal dan pembahasan gradien dan persamaan garis lurus . Permutasi memperhatikan urutan kita memilih objek kita. Kamu udah lihat contoh kasus permutasi pada poin sebelumnya kan? Postingan ini membahas contoh soal permutasi beberapa unsur sama dan pembahasannya. Permutasi yang memuat beberapa unsur yang sama. Permutasi merupakan penyusunan kemungkinan terjadinya suatu peristiwa berurutan dari beberapa unsur berbeda. Kumpulan objek yang sama, tetapi diambil dalam urutan yang berbeda akan memberi kita . Ambil contoh saja ketika kamu . Banyak permutasi atau susunan yang berbeda dari n objek, . Permutasi (definisi, jenis permutasi dan contoh soal). Permutasi unsur berbeda ini maksudnya gimana ya?

Contoh Soal Permutasi Dengan Unsur Yang Sama : 50 Contoh Soal Permutasi Dan Kombinasi Pembahasannya Pdf 2021 - N = total huruf = 8. Rumus contoh soal permutasi dan kombinasi, pengertian, unsur yang sama, siklis, cara menentukan, binomial newton, peluang, jawaban, . Permutasi merupakan penyusunan kemungkinan terjadinya suatu peristiwa berurutan dari beberapa unsur berbeda. Oleh karena itu, gunakan permutasi unsur yang sama untuk menentukan banyak susunan huruf yang berbeda. Umumnya contoh soal permutasi akan memiliki . Permutasi (definisi, jenis permutasi dan contoh soal).

Posting Komentar untuk "Contoh Soal Permutasi Dengan Unsur Yang Sama : 50 Contoh Soal Permutasi Dan Kombinasi Pembahasannya Pdf 2021 - N = total huruf = 8"